Japanese
Access map
Company Outline, Transition of Sales, Office Outline
Corporate Philosophy
Quality Assurance
Environmental Policy
News Release
Access Map
Contact
Link
New Products
Product Map
Product Line UP
Product Search
Iodine and Natural Gas
Iodination Technology
Cyanation Technology
Cyanohydrination Technology
Nitrile Derivatives Manufacturing Technology
Coupling Technology
Microreactor Technology
HOME
Product Information
Product Map
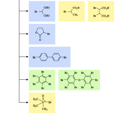
Bromine and Chlorine Compounds
Product Map
Product Line UP
Bromine and Chlorine Compounds
Commercial
Custom Production
Development
New Products
Product Map
Iodine compounds
Bromine and Chlorine compounds
Cyano Compounds
Aromatic amino compounds
Product Line UP
Iodine compounds
Bromine and Chlorine compounds
Cyano derivatives
Azo compounds
Orthoester and Amizine
Aromatic amino compounds
Product Search
Compound∙functional group